
吸光度示例曲线.xlsx
下载

吸光度测试报告.pdf
下载

SpecView_7.7.14.exe
下载
Dimension-Labs吸光度测量系统可以快速准确的测量各类液体,薄膜的吸光度信息,以分析材料光学特性。
l 测试谱带遍及紫外-可见-近红外,可得光谱信息丰富。
l 测量速度快、响应灵敏,可做定量分析。
l 试剂消耗少,重复性好。
l 系统简单,即学即用。
测试系统:吸光度测试系统 测试软件:Dimension-Labs/SpecView
| 部件名称 | 部件型号 | 产品展示/应用场景 |
| 光纤光谱仪 | DL-FOSL-350-1050 | |
| 宽带光源 | DL-DW-200-2500-3.8W | |
| 比色皿支架 | DL-LSH-T-3 | |
| 石英光纤 | DL-MM-SMA-200-200-1100-0.5 |
1.光纤光谱仪
在吸光度测量系统中,Dimension-Labs建议使用通用型和高灵敏型光纤光谱仪、可以实现350-1050 nm的宽谱测量以及1.3 nm的分辨能力,并可以根据不同光谱仪型号实现更优的性能。
2.光源
根据测量波段需求可以选择使用氘钨光源200-2500 nm,或者卤钨光源350-2500 nm。Dimension-Labs同样提供不同功率输出的光源以满足不同的测试需求。
3.比色皿支架
支架中增加了准直透镜设计,减少光源发射入射进样品池并可以被更好的被收集,减少空间散射光对测量的影响。
4.光纤
引导光线在比色皿支架与光谱仪之间传输,高羟基与低羟基的石英多模光纤可以用于200-1100 nm以及350-2500 nm的宽谱传输。
【测量数据和数据处理】
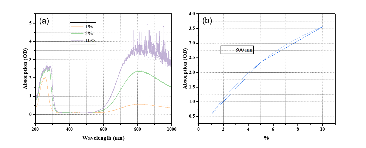
图(1)(a)不同浓度CuSO4溶液的吸光度光谱;(b)800 nm浓度-吸光度曲线
基于Dimension-Labs的吸光度测量系统对不同浓度下的硫酸铜溶液进行吸光度测试,其中在1%浓度下的吸光度谱线与报道谱型相同,随着浓度的进一步增加可以发现在270 nm处的吸收达到饱和,而位于800 nm处的吸收还未饱和,仍在不断吸收。此时的吸光度已到3-4 OD处,对应透过率为千分之一到万分之一,选择800 nm处吸收峰信息做浓度-吸光度对比图谱,可以发现随着浓度不断增加,吸光度信息并不遵循线性变化。这是因为当浓度进一步增加,分子间作用加剧、溶质未分散均匀带来的散射等均会造成此效应。因此基于朗伯-比尔定律对样品特性进行研究时需要注意样品浓度,避免浓度过高带来的测试误差。

光纤光谱仪
● 进口高品质光栅
● 全波谱,定制光谱范围
● 高信噪比、低杂散光、消除高阶衍射
● 小体积、高性能、SMA905光纤输入
● 满足多场景使用需求
已选0件物料,总价(含税):¥0.00
已选0件物料,总价(含税):¥0.00
已选0件物料,总价(含税):¥0.00

宽带光源
●涵盖紫外-可见光-近红外波段,可连续光谱输出。
●多种光功率可选也可连续调节功率输出。
●可提供长期稳定宽带光源 。
●满足搭建反射、透射等多种方案测量需要。
已选0件物料,总价(含税):¥0.00
已选0件物料,总价(含税):¥0.00

测量支架
● 支架由三个紫外熔石英准直透镜构成,适用于200-2500 nm波段。
● 准直透镜焦距5mm,光程10mm。
● 支持SMA905光纤跳线。
已选0件物料,总价(含税):¥0.00

石英光模式光纤
● 波长范围(nm):200-3500 nm(可选)
● 接口类型:标准SMA905,FC/PC(可选)
● 芯径(um):100、200、400、600 (可选)
● 长度(m):0.5、1、2(可选)
已选0件物料,总价(含税):¥0.00
已选0件物料,总价(含税):¥0.00
已选0件物料,总价(含税):¥0.00
- 姓名: 梁工
- 电话: 13316970415
- 邮箱: guanghong.liang@dimension-labs.com
微信:

光纤光谱仪
宽带光源




测量支架

石英光模式光纤








